*К членам семей военнослужащих, граждан, уволенных с военной службы, на которых распространяются указанные гарантии относятся: супруга (супруг); несовершеннолетние дети; дети старше 18 лет, ставшие инвалидами до достижения ими возраста 18 лет; дети в возрасте до 23 лет, обучающиеся в образовательных организациях по очной форме обучения; лица, находящиеся на иждивении военнослужащих.
В случае необходимости оказания психологической помощи, направление в кабинет медико-психологической помощи.
При наличии показаний, пациент также может быть предложено направление в учреждения, оказывающие медицинскую помощь по профилю «Психиатрия».
Если участнику/ветерану СВО или члену его семьи необходимо предоставление социальных услуг, ответственный руководитель Петров. И.Н. направляет информацию руководителю органа социальной защиты населения администрации района Санкт-Петербурга.


Федеральный закон от 21.11.2011 № 323-ФЗ «Об основах охраны здоровья граждан в Российской Федерации»;
«Об утверждении Порядка оказания медицинской помощи взрослому населению по профилю «терапия»,
Приказ Министерства здравоохранения РФ от 15.12. 2014 № 834н «Об утверждении унифицированных форм медицинской документации, используемых в медицинских организациях, оказывающих медицинскую помощь в амбулаторных условиях, и порядков по их заполнению»;
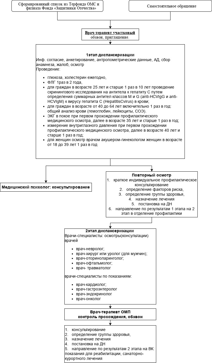
«Об утверждении Порядка проведения профилактического медицинского осмотра и диспансеризации определенных групп взрослого населения»;
«Об утверждении Порядка организации и осуществления профилактики неинфекционных заболеваний и проведения мероприятий по формированию здорового образа жизни в медицинских организациях»;
«Об утверждении Порядка проведения диспансерного наблюдения за взрослым;
Постановление Правительства РФ от 24.10.2024 № 1423 «Об особенностях оказания первичной медико-санитарной помощи военнослужащим Вооруженных Сил Российской подведомственными исполнительным органам субъектов Российской Федерации, органам местного самоуправления»;
Методические рекомендации по совершенствованию коммуникативной компетентности врачей и средних медицинских работников при общении и оказании медицинской помощи участникам специальной военной операции (СВО) и членам их семей, утвержденные МЗ РФ, 2025 г.
Медицинская реабилитация представляет собой комплекс мероприятий медицинского и психологического характера, направленных на полное или частичное восстановление нарушенных и (или) компенсацию утраченных функций поражённого органа либо системы организма, поддержание функций организма в процессе завершения остро развившегося патологического процесса или обострения хронического патологического процесса в организме, а также на предупреждение, раннюю диагностику и коррекцию возможных нарушений функций повреждённых органов либо систем организма, предупреждение и снижение степени возможной инвалидности, улучшение качества жизни, сохранение работоспособности пациента и его социальную интеграцию в общество.
Заболевания или состояния центральной нервной системы
Заболевания или состояния опорно-двигательного аппарата и периферической нервной системы
Соматические заболевания
Заболевания сердечно-сосудистой системы
Бронхолёгочные патологии (бронхиальная астма, хроническая обструктивная болезнь лёгких и др.)
Состояния после завершения лечения онкологических заболеваний (реабилитация онкопациентов с лекарственными поражениями печени; реабилитация онкопациентов с поражением слизистых оболочек и кожи после лучевой терапии; реабилитация онкопациентов с недостаточностью питания; реабилитация онкопациентов с отёчным синдромом после лимфаденэктомии; реабилитация онкопациентов после онкоортопедических операций).
Вам надо обратиться к лечащему врачу. Врач назначит Вам необходимый перечень лабораторных и инструментальных исследований, а также консультации специалистов. По результатам обследования буде т принято решение о показаниях к медицинской реабилитации, условиях и сроках его проведения.
Да. Существу ю т относительные противопоказания для медицинской реабилитации, состояния, когда проведение мероприятий медицинской реабилитации может навредить пациенту или не оказать клинического эффекта. Каждый клинический случай индивидуально рассматривается лечащим врачом и врачебной комиссией принимающей медицинской организации.
Медицинская реабилитация осуществляется в следующих условиях:
Медицинская реабилитация в стационарных отделениях медицинской реабилитации и в дневных стационарах медицинской реабилитации стационарных медицинских организаций
Стационарные отделения медицинской реабилитации стационаров принимают пациентов как по направлению из поликлиник, так и «прямым» переводом после завершения стационарного лечения.
Если Вы находитесь на амбулаторном этапе лечения: направление на медицинскую реабилитацию в установленном порядке осуществляет врач-терапевт (врач-терапевт участковый), врач общей практики (семейный врач), врач-специалист медицинской организации, в которой пациент получает первичную медико-санитарную помощь.
Далее Ваш клинический случай на очной консультации или дистанционно рассматривает врачебная комиссия принимающего стационара. Врачебной комиссией принимается решение о показаниях к госпитализации, условиях её проведения (стационарно или дневной стационар), оптимальных сроках госпитализации, необходимости дообследования и др.
Если Вы завершили стационарный этап лечения основного заболевания в рамках оказания специализированной, в том числе высокотехнологичной, медицинской помощи и Ваше состояние требует проведения мероприятий медицинской реабилитации в стационарных условиях: направление на медицинскую реабилитацию в установленном порядке осуществляет Ваш лечащий врач. Для этих целей организовано взаимодействие между стационарами.
Если Вы осуществляете трудовую деятельность, завершили стационарный этап лечения основного заболевания в рамках оказания специализированной, в том числе высокотехнологичной медицинской помощи и Ваше состояние требует проведения мероприятий медицинской реабилитации, Вам может быть предложен перевод на долечивание в отделения медицинской реабилитации санаторно-курортных организаций, расположенных на территории Санкт-Петербурга. На долечивание направляются пациент ы после стационарного лечения: сердечно-сосудистых заболеваний, в том числе после кардиохирургических вмешательств; нарушений мозгового кровообращения; сахарного диабета; травматологических/ортопедических операций; ревматологических заболеваний; пневмоний; заболеваний беременных женщин; злокачественных новообразований молочной железы; операций на органах желудочно-кишечного тракта.
Медицинская реабилитация в амбулаторных отделениях медицинской реабилитации и в дневных стационарах медицинской реабилитации амбулаторно-поликлинических учреждений
Направление на медицинскую реабилитацию в установленном порядке осуществляет врач -терапевт (врач-терапевт участковый), врач общей практики (семейный врач), врач-специалист медицинской организации, в которой пациент получает первичную медико-санитарную помощь.
Медицинская реабилитация в амбулаторных отделениях медицинской реабилитации и в дневных стационарах медицинской реабилитации амбулаторно-поликлинических учреждений осуществляется по месту жительства или в межрайонных центрах.